Lecture 6.1 - Area Calculations with Integrals - Vertical Strips (dx) vs. Horizontal Strips (dy) (Links to an external site.)
- DONE Completed: 2022-05-04 https://youtu.be/ssB9UiXUDKg
We could use dy instead of dx for area under the curve.
Example: area enclosed by: and .
@axis
f(x) = x
g(x) = x**.5
plot f(x),g(x)
instead of f(x) and g(x), just put y.
.
Things we know:
Different way:
Example 2
@axis
f(x) = log(x)
h(x) = 2
plot f(x), 0 title "g(y)=0"
set arrow from 2, graph 0 to 3, graph 1 nohead
Technique is useful to simplify formulas sometimes.
^ Have to use integration by parts, which is a more advanced technique.
Alternatively:
Example 7.1.1 (book)
Lecture 6.2 - More Horizontal vs. Vertical Area Integrals (Links to an external site.)
- DONE Completed: 2022-05-08 https://youtu.be/ndQdMkF3Gvs
Example
reset
@axis
f(x) = x**.5
g(x) = 2-x
h(x) = 0
plot f(x), g(x), h(x)
Find point of intersection. 0 & sqrt
sqrt and 2-x 2-x = sqrt(x) (2-x)^2 = x x^2-4x+4 = x x^2-5x+4 = 0 (x-4)(x-1) = 1 or 4
2-x and 0: 2
If we use DX, we have two problems.
For DY, it’s: .
Can we go over how we translate functions from their x counterparts to y? Especially y=sqrt(x) = y^2=x.
- DONE Completed: 2022-05-04
Try to get x on a side by itself. That gives you the answer.
Lecture 6.3 - Volumes of Rotation with Cross-Sectional Disks
- DONE Completed: 2022-05-08 https://youtu.be/i2mqBfdXuDQ
Find the solid obtained by parabola and the x-axis and rotating it about the y-axis.
@axis
f(x) = 1-x**2
plot f(x)
Gives a domed pyramid. It has circular cross-sections. The radius is 1/2 of the full width.
Volume of the cylinder is
Stack of washers (domed pyramid of donuts)
First quadrant is bounded by , , and and rotated on the x-axis.
@axis
f(x) = exp(x)
plot f(x)
Empty interior is 2 wide, 1 tall. Going to do it DX so that they’re in the plane of the thing we’re trying to calculate.
Inner radius: 1 Outer radius: e^x Volume of thing:
Q: Because we took the function y=1-x^2, why is the radius x=sqrt(1-y) and not x=1/2 sqrt(1-y) since we’re only dealing w/ half of it?
- DONE Completed: 2022-06-08
I don’t really understand how to differentiate things that involve the e constant.
- DONE Completed: 2022-05-11
u = 2x du = 2dx
limits change b/c u scales differently.

so e^{2x} differentiates into e^2x * derivative of 2x (so 2). (chain rule)
The anti-differentiation of e^2x =1/2 e^2x (because the differentiation [2e^2x] would need to cancel out the 1/2)
Lecture 6.4 - A Geometric Formula from a Volume of Rotation
- DONE Completed: 2022-05-08 https://youtu.be/ptlVsJJt490
Basically, this is how to derive the formula for the volume of a sphere, but done via calculus.
Formula for a circle at 0,0 is (see geometry). In terms of x, that’s
Why isn’t this halved? I would guess that we do a 360 w/ the “rotate around” not, 180?
- DONE Completed: 2022-06-08
Lecture 6.5 - Integral Volumes Using Cylindrical Shells
- DONE Completed: 2022-05-09 https://youtu.be/aWs2SdczJxQ
Okay, so the “little slice” this time is a thin walled toilet paper roll, which is represented as .
when , it’s … because is “very small”
I don’t quite understand the reasoning for dropping that second term b/c it’s “very small”
-
DONE Completed: 2022-05-12
dominated like BigO
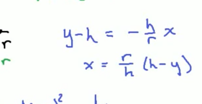
Example: Derive volume formula for cones Find the volume of a cone w/ radius r and height h.
Bounded by x, y, and the line: .
Cylindrical shells
Q: I’m not clear on how some of the terms get turned from r to x but not all?
- DONE Completed: 2022-05-11
turned into . How did the r turn into an x there? Why is there still an r in the height formula?
So we need to know the slope of the line to bound the cone. That slope is in terms of R, b/c the base of the cone is R wide. We can’t replace that w/ r.
cross-sectional disks
radius is a function for the line from above, but in terms of x not y.
… Kinda lost track with the algebra, but it came out to the same answer.
Why did the h-y and y-h flip here?
- DONE
Completed: 2022-05-08

I believe it’s b/c we had to multiply both sides by which would flip the signs there as well.
Homework
Section 7.1 (pp.359-361) - 5-12, 13, 14, 15, 17, 21-26
Section 7.2 (pp.368-369) - 5-18, 19, 20
Section 7.3 (pp.376-377) - 5-12, 13-18
7.2 6
import graph;
size(400,IgnoreAspect);
real f(real x) { return 5x;}
fill((1,0)--(1,f(1))--(2,f(2))--(2,0)--cycle,cyan);
draw(graph(f,0,2.5),blue+1.2, "$y=5x$");
xaxis("$x$",BottomTop,LeftTicks);
yaxis("$y$",LeftRight,RightTicks(trailingzero));
label("$y=5x$",(1.2,8),black);
pen p = white;
shipout(bbox(p,Fill));